Distância no Yo-Yo Intermittent Recovery Test está associada com a Dilatação Mediada por Fluxo em jovens jogadores de futebol
Resumo
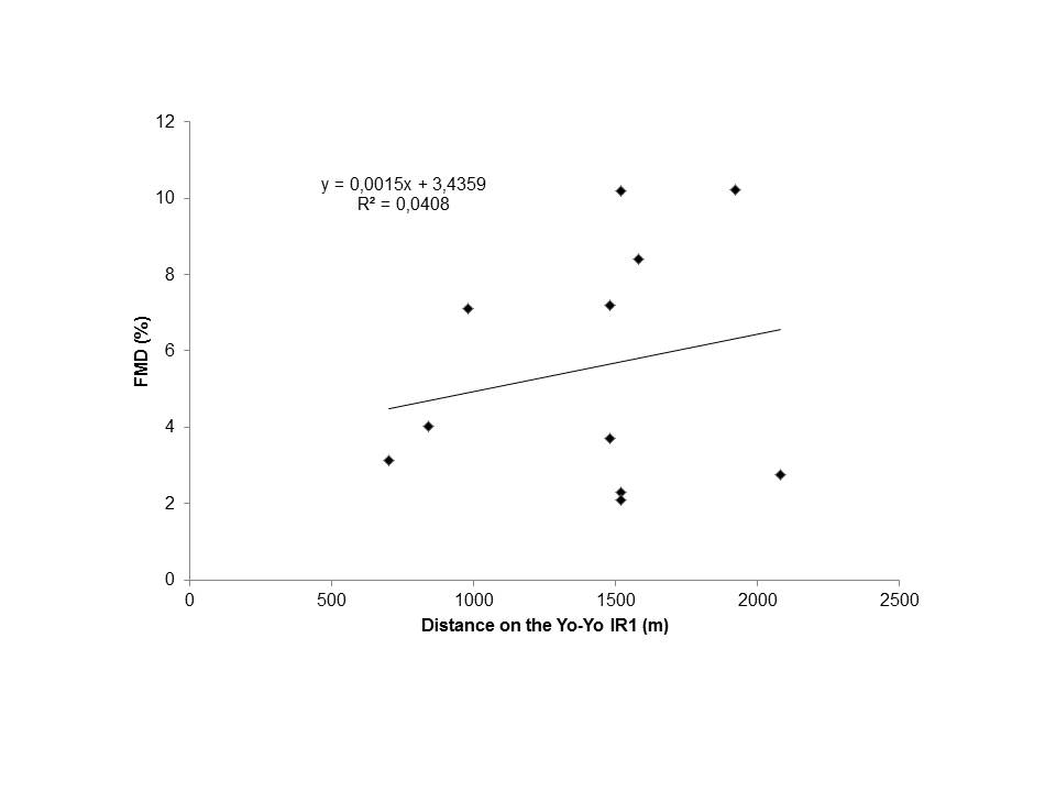
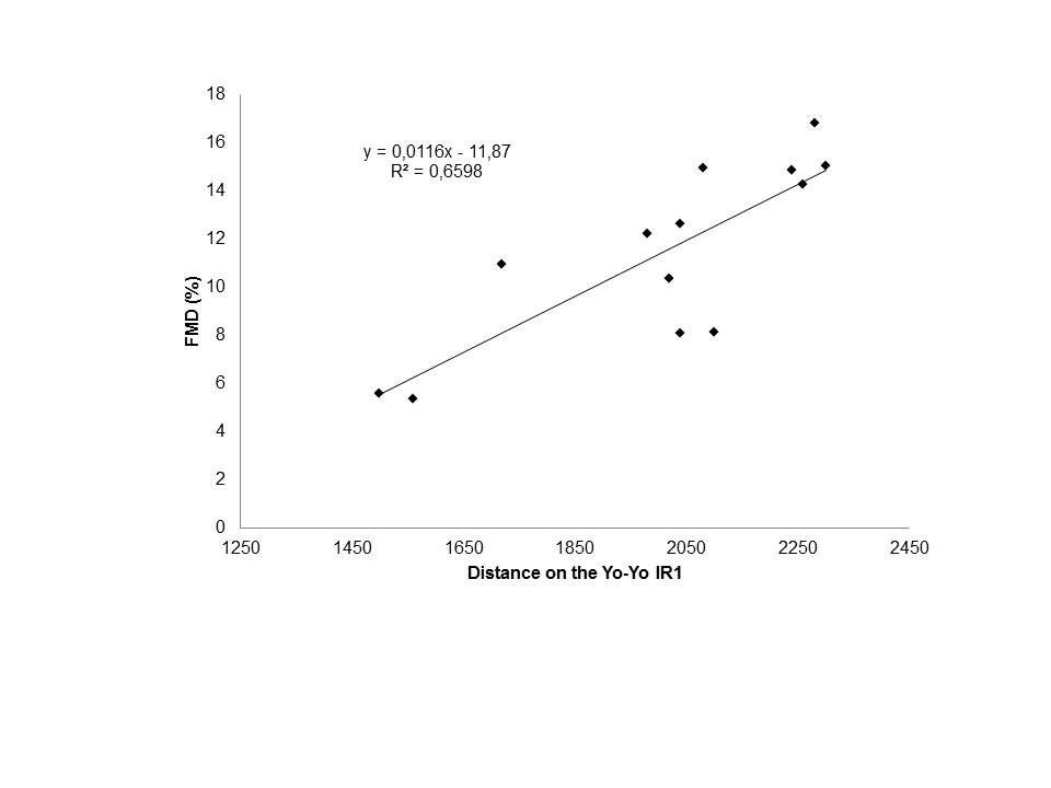
O Yo-Yo Intermittent Recovery Test avalia a capacidade individual para realizar exercício intermitente levando a uma ativação máxima do sistema aeróbio. Também foi demonstrado que o exercício aeróbio melhora a função endothelial (FMD). Além disso, estudos indicam que existe uma associação positiva entre a FMD e o consume máximo de oxigênio, mas não há dados disponíveis sobre a associação com o Yo-Yo Intermittent Recovery Test. Assim, o objetivo do presente estudo foi investigar, em jovens jogadores de futebol, se o Yo-Yo Intermittent Recovery Test nível 1 poderia também estar associado à FMD. Treze jovens jogadores de futebol (atletas) e onze jovens não-atletas (controle) participaram deste estudo. A FMD e o Yo-Yo Intermittent Recovery Test nível 1 foram medidos em cada grupo. A FMD e a distância no Yo-Yo Intermittent Recovery Test nível 1 foram significativamente maiores (p <0,002 e p <0,001, respectivamente) nos atletas (FMD = 11,5 ± 3,8; Yo-YoIR1 = 2009,2 ± 263,8) que no grupo controle (FMD = 4,9 ± 5,4, Yo-YoIR1 = 1420 ± 423,8). A correlação de Pearson entre a FMD e a distância no Yo-Yo Intermittent Recovery Test nível 1 no grupo atletas foi r = 0,81 (p <0,005), enquanto no grupo controle foi r = 0,03 (p <0,005). Nossos resultados indicam que há uma associação positiva entre o Yo-Yo Intermittent Recovery Test nível 1 e a FMD em jovens jogadores de futebol. Esta associação fortalece o Yo-Yo Intermittent Recovery Test nível 1 como uma ferramenta eficaz na avaliação do desempenho de atletas de esportes intermitentes.
Referências
-Ashor, A.W.; Lara, J.; Siervo, M.; Celis-Morales, C.; Oggioni, C.; Jakovljevic, D.G.; Mathers, J.C. Exercise modalities and endothelial function: a systematic review and dose-responsemeta-analysis of randomized controlled trials. Sports Medicine. Vol. 45. Num. 2. 2015. p. 279-296.
-Bangsbo, J.; Iaia, F. M.; Krustrup, P. The Yo-Yo intermittent recovery test: a useful tool for evaluation of physical performance in intermittent sports.Sports Medicine. Vol. 38. Num. 1. 2008. p. 37-51.
-Buscemi, S.; Canino, B.; Batsis, J.A.; Buscemi, C.; Calandrino, V.; Mattina, A.; Arnone, M.; Caimi, G.; Cerasola, G.; Verga, S. Relationships between maximal oxygen uptake and endothelial function in healthy male adults: a preliminary study. Acta Diabetologica Journal. Vol. 50. Num. 2. 2013. p. 135-141.
-Castagna, C.; Impellizzeri, F.M.; Rampinini, E.; D'Ottavio, S.; Manzi, V. The Yo-Yo intermittent recovery test in basketball players. Journal of Science and Medicine in Sport. Vol. 11. Num. 2. 2008. p. 202-208.
-Corretti MC, Anderson TJ, Benjamin EJ, Celermajer D, Charbonneau F, Creager MA, Deanfield, J.; Drexler, H.; Gerhard-Herman, M.; Herrington, D.; Vallance, P.; Vita, J.; Vogelet, R. Guidelines for the ultrasound assessment of endothelial-dependent flow-mediated vasodilation of the brachial artery: a report of the International Brachial Artery Reactivity Task Force. Journal of the American College of Cardiology. Vol. 39. Num. 6. 2002. p. 257-265.
-Della Rocca, D.G.; Pepine, C.J. Endothelium as a predictor of adverse outcomes. Clinical Cardiology. Vol. 33. Num.12. 2010. p. 730-732.
-Fagard, R.H.; Cornelissen, V.A. Effect of exercise on blood pressure control in hypertensive patients. European Journal of Cardiovascular Prevention & Rehabilitation. Vol. 14. Num. 1. 2007. p. 12-17.
-Faulkner, J.A. Physiology of swimming and diving. IN: Falls, H. Exercise Physiology, Baltimore. Academic Press. 1968.
-Gokce, N.; Vita, J.A.; Bader, D.S.; Sherman, D.L.; Hunter, L.M.; Holbrook, M.; O'Malley, C.; Keaney, J.F.; Jr Balady, G.J. Effect of exercise on upper and lower extremity endothelial function in patients with coronary artery disease. American Journal of Cardiology. Vol. 90. Num. 2. 2002. p. 124-127.
-Guiraud, T.; Nigam, A.; Gremeaux, V.; Meyer, P.; Juneau, M.; Bosquet, L. High-intensity interval training in cardiac rehabilitation. Sports Medicine. Vol. 42. Num. 7. 2012. p. 587-605.
-Henderson, B.; Cook, J.; Kidgell, D.J.; Gastin, P.B. Game and training load differences in elite junior Australian football. Journal of Sports Science and Medicine. Vol. 14. Num. 3. 2015. p. 494-500.
-Hermassi, S.; Aouadi, R.; Khalifa, R.; Van Den Tillaar, R.; Shephard, R.J.; Chelly, M.S. Relationships between theYo-Yo intermittent recovery test and anaerobic performance tests in adolescent handball players. Journal of Human Kinetics. Vol. 45. 2014. p. 197-205.
-Higashi, Y.; Sasaki, S.; Kurisu, S.; Yoshimizu, A.; Sasaki, N.; Matsuura, H.; Kajiyama, G.; Oshima, T. Regular aerobic exercise augments endothelium-dependent vascular relaxation in normotensive as well as
hypertensive subjects: role of endothelium-derived nitric oxide. Circulation. Vol. 100. Num. 11. 1999. p. 1194-1202.
-Hornig, B.; Maier, V.; Drexler, H. Physical training improves endothelial function in patients with chronic heart failure. Circulation. Vol. 93. Num. 2. 1996. p. 210-214.
-Kodama, S.; Saito, K.; Tanaka, S.; Maki, M.; Yachi, Y.; Asumi, M.; Sugawara, A.; Totsuka, K.; Shimano, H.; Ohashi, Y.; Yamada, N.; Sone, H. Cardiorespiratory fitness as a quantitative predictor of all-cause mortality and cardiovascular events in healthy men and women. Journal of the American Medical Association. Vol. 301. Num. 19. 2009. p. 2024-2035.
-Laurent, S.; Lacolley, P.; Brunel, P.; Laloux, B.; Pannier, B.; Safar, M. Flow-dependent vasodilation of brachial artery in essential hypertension. American Journal of Physiology. Vol. 258. 1990. p. 1004-1011.
-Lear, S.A.; Brozic, A.; Myers, J.N.; Ignaszewski, A.Exercise stress testing. An overview of current guidelines. Sports Medicine. Vol. 27. Num. 5. 1999. p. 285-312.
-Mohr, M.; Krustrup, P.; Bangsbo, J. Fatigue in soccer: a brief review. Journal of Sports Sciences. Vol. 23. Num. 6. 2005. p. 593-599.
-Pahkala, K.; Heinonen, O.J.; Lagström, H.; Hakala, P.; Simell, O.; Viikari, J.S.; Rönnemaa, T.; Hernelahti, M.; Sillanmäki, L.; Raitakari, O.T. Vascular endothelial function and leisure-time physical activity in adolescents. Circulation. Vol. 118. Num. 23. 2008. p. 2353-2359.
-Rampini, E.; Sassi, A.; Azzalin, A.; Castagna, C.; Menaspa, P.; Carlomagno, D.; Impellizzeri, F.M. Physiological determinants of Yo-Yo intermittent recovery tests in male soccer players. European Journal of Applied Physiology. Vol. 108. Num. 2. 2010. p. 401-409.
-Sandoo, A.; Van Zanten, J.J.; Metsios, G.S.; Carroll, D.; Kitas, G.D. The endothelium and its role in regulating vascular tone. The Open Cardiovascular Medicine Journal. Vol. 4. 2010. p. 302-312.
-Stolen, T.; Chamari, K.; Castagna, C.; Wisløff, U. Physiology of soccer: an update. Sports Medicine. Vol. 35. Num. 6. 2005. p. 501-536.
Autores que publicam neste periódico concordam com os seguintes termos:
- Autores mantém os direitos autorais e concedem ao periódico o direito de primeira publicação, com o trabalho simultaneamente licenciado sob a Creative Commons Attribution License BY-NC que permitindo o compartilhamento do trabalho com reconhecimento da autoria do trabalho e publicação inicial neste periódico.
- Autores têm autorização para assumir contratos adicionais separadamente, para distribuição não-exclusiva da versão do trabalho publicada neste periódico (ex.: publicar em repositório institucional ou como capítulo de livro), com reconhecimento de autoria e publicação inicial neste periódico.
- Autores têm permissão e são estimulados a publicar e distribuir seu trabalho online (ex.: em repositórios institucionais ou na sua página pessoal) a qualquer ponto antes ou durante o processo editorial, já que isso pode gerar alterações produtivas, bem como aumentar o impacto e a citação do trabalho publicado (Veja O Efeito do Acesso Livre).